🏎️ F1 Fantasy Predictor
Data-driven team recommendations using Monte Carlo simulations and real 2025 season data
Las Vegas Grand Prix
Race Date: 22 November 2025
2x
O. PIASTRI
McLaren
$26.0M
O. BEARMAN
Haas
$8.3M
F. ALONSO
Aston Martin
$5.5M
P. GASLY
Alpine
$4.7M
F. COLAPINTO
Alpine
$4.7M
MCLAREN
Constructor
$35.6M
RED BULL RACING
Constructor
$30.2M
Total Cost: 117.0M
Expected Points: 196.1
Expected Points: 196.1
Last updated: 09 November 2025 at 11:42 UTC
⚠️ Disclaimer: These predictions are based on statistical analysis and historical data.
F1 is unpredictable, so use these recommendations as a guide only.
Animated race progression showing median driver positions throughout the race
Constructors value analysis comparing price-to-points efficiency across all possible constructor combinations
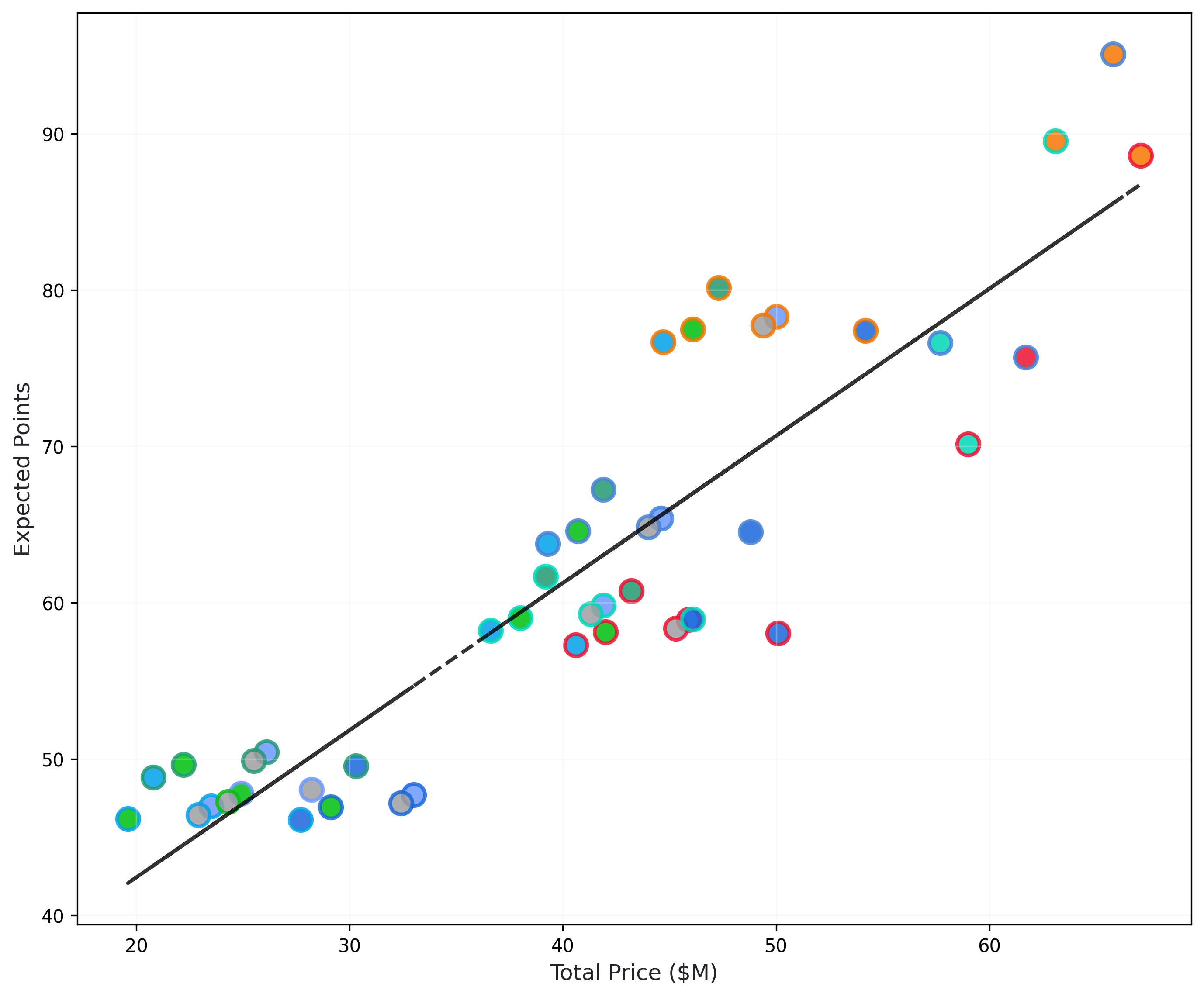
Driver value quadrant analysis showing the relationship between risk and expected points
Lap-by-lap position progression for Franco Colapinto showing race variability with average and median trends - displaying 750 sims)
Points distribution analysis showing probability density of fantasy points for top drivers
Simulation convergence analysis showing how results stabilise over time
Price sensitivity analysis showing the relationship between driver prices and expected points